成人视频

设为成人视频 加入收藏 旧版入口
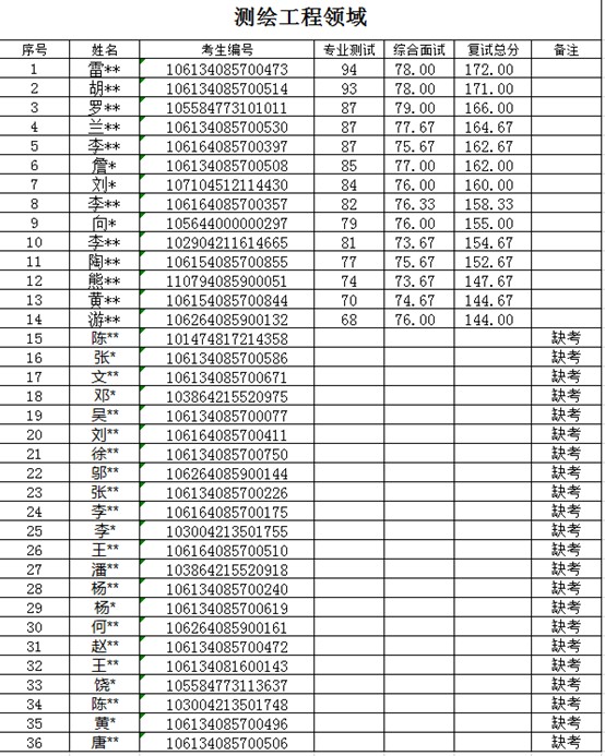
成人视频 2024年硕士研究生调剂复试成绩公示
作者: 编辑:成人视频 日期: 2024-04-10 信息来源: 审核人:董建辉 点击数:

成人视频 2024年硕士研究生调剂复试工作已于2024年4月10日完成,现将复试成绩公示如下:


申诉渠道:考生对学院硕士研究生招生环节有异议的,可向学院书面形式实名提起申诉,学院收到申述应当受理并予以答复。申诉考生对答复有异议的,可向学校研招办提起申诉。

举报监督:若发现有违纪、违规行为需要举报和反映,请向学院复试督查小组举报或反映,举报电话:028-84616652;电子邮箱:[email protected]

成人视频-成人视频高清在线观看分享站©版权所有  

电话:028-84616652 邮箱:[email protected] 地址:成都市外东十陵成人视频 邮编:610106